Para poder comprender el funcionamiento de los circuitos electrónicos es preciso entender los fenómenos eléctricos y sus aplicaciones, con este fin se hace necesario escudriñar la estructura interna de la materia que determina el comportamiento de aquellos.
La materia está constituida por moléculas. Las cuales, a su vez, están formadas por una agrupación de otras partículas denominadas átomos.
A nivel funcional, podemos convenir que los átomos estén formados por tres clases diferentes de partículas:
En el interior de los átomos los electrones están girando alrededor del núcleo en órbitas que estarán más cerca o más lejos del núcleo según posean más o menos energía. La energía de cada electrón depende de la órbita en la que se encuentre, y de la carga positiva del núcleo. Los electrones que poseen más energía se les conoce con el nombre de electrones de valencia, los cuales son los que intervienen en la formación de las agrupaciones de átomos.
Un átomo se considera eléctricamente neutro cuando tiene el mismo número de cargas positivas (protones) y de cargas negativas (electrones). Sin embargo hay ciertas situaciones en las que los átomos ganan o pierden electrones, a estos tipos de átomos se les conoce con el nombre de iones. Hay 2 clases diferentes de iones:
Carga eléctrica
La carga eléctrica mide el exceso o defecto de electrones sobre el número de protones en un cuerpo. Todos los cuerpos en condiciones normales son eléctricamente neutros, pero estos pueden ganar o perder electrones por diferentes circunstancias, teniendo en este momento carga eléctrica.
La unidad con la cual se mide la carga eléctrica es el Culombio (C) que equivale a 6´3 x 1018 electrones, o lo que es lo mismo, un electrón tiene una carga eléctrica de 1.6 X 10-19 culombios.
Intensidad
Un cuerpo cargado eléctricamente genera a su alrededor un campo eléctrico. La cantidad de flujo electrónico a través de un cuerpo con material conductor es una medida de la corriente presente en el conductor.
Las cargas en movimiento son los electrones relativamente libres encontrados en conductores como cobre, aluminio u oro. El término “libres” indica que se pueden mover fuera del átomo en una dirección determinada mediante la aplicación de una fuente de energía externa.
Lo anteriormente descrito se representa mediante la siguiente ecuación:

donde:
I : Intensidad (Amperios)
Q : Carga (Culombios)
t : Tiempo (Segundos)
La unidad con la cual se mide la intensidad es el Amperio (A). Por lo tanto, la intensidad eléctrica que atraviesa un conductor representa la cantidad de carga eléctrica que lo atraviesa en la unidad de tiempo.
Una analogía bastante utilizada para explicar el modo de medir la corriente es el flujo de agua a través de un tubo, el cual habrá que partir e insertar un medidor, en otras palabras, primero se debe "romper" el trayecto del flujo de la carga (corriente) e insertar el medidor entre las dos terminales (expuestas) creadas en el circuito. A este proceso se le denomina medir en serie.
El medidor que se utiliza para medir la intensidad se le denomina amperímetro o polímetro (es un instrumento que puede medir más cosas además de la intensidad, tales como la resistencia, tensión, etc.).
Tensión
La tensión, o voltaje, es una variable que necesita 2 puntos para ser definida. Si se quiere que una corriente circule por un circuito, debe existir una diferencia de potencial que propicie el desplazamiento. Esa diferencia de potencial es lo que se puede identificar con la tensión.
La unidad de medida de la tensión es el voltio (V).
Tal vez la forma más fácil de entender el significado de tensión es haciendo una analogía con un fenómeno de la naturaleza. Si comparamos el flujo de la corriente eléctrica con el flujo de la corriente de agua de un río, la tensión equivaldría a la altura, diferencia de nivel -de potencial-, de una catarata (caída de agua). Es justamente ese desnivel el que hace posible el desplazamiento del fluido.

El medidor que se utiliza para medir la tensión es el voltímetro o polímetro (por si queremos medir más magnitudes que la tensión). La tensión se mide en paralelo, es decir, no hace falta interrumpir el circuito para poder medir el voltaje entre 2 puntos.
Resistencia
La resistencia es la oposición, por parte de un material conductor, o semiconductor, a la circulación de la corriente eléctrica . La resistencia del sistema controla el nivel de la corriente resultante, mientras mayor es la resistencia, menor es la corriente y viceversa.
La unidad de resistencia es el Ohmio. El instrumento para medir una resistencia es el óhmetro que, como en los casos anteriores, suele venir incluido en los polímetros. El procedimiento es situar en paralelo, como cuando se mide la tensión, el instrumento con la resistencia, o los puntos entre los que se quiera medir, pero con la obligación de desconectar toda tensión en el circuito y aislar el elemento cuya R se quiere medir para no obtener el valor del paralelo de tal resistencia con el circuito al que se conecta.
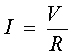
Ley de Ohm

donde:
I : Intensidad (Amperios)
V : Tensión (Voltios)
R : Resistencia (Ohmios)
Según las diferentes magnitudes empleadas en electrónica, tales como: resistencia, tensión, intensidad, etc., tenemos diferentes unidades de medida como: ohmios, voltios, amperios, etc. Al igual que en otras disciplinas, es preciso adecuar las unidades a las medidas que se realizan. Para ello se emplean los múltiplos y submúltiplos genéricos, que se expresan en la siguiente tabla:
UNIDADES |
VALOR | SÍMBOLO |
Tera |
1012 = 1.000.000.000.000 |
T |
Giga |
109 = 1.000.000.000 |
G |
Mega |
106 = 1.000.000 |
M |
Kilo |
103 = 1.000 |
K |
Unidad |
100 = 1 |
(Amperios, Ohmios, etc.) |
Mili |
10-3 = 0´001 |
m |
Micro |
10-6 = 0´000001 |
µ |
Nano |
10-9 = 0´000000001 |
n |
Pico |
10-12 = 0´000000000001 |
p |
| Abrir archivo pdf: fundamentos_basicos.pdf |